В настоящее время вокруг нас происходит ряд технологических изменений. Нетрудно заметить тенденцию ухода от проводов: люди всё меньше и меньше используют проводные наушники, проводные мыши и т. д. Следующим логичным шагом является отказ от проводных зарядок, которые, в отличие от своих «собратьев», до сих пор всюду нас окружают. Конечно, в обиход уже вошли беспроводные зарядки, однако технология упирается в физические ограничения, за счёт чего проигрывает проводным зарядкам.
Целью работы: рассмотреть физические явления, объясняющие беспроводную передачу энергии, и проанализировать факторы потерь энергии, а также описать современные инженерные решения повышения эффективности.
Беспроводная передача электричества основана на явлении магнитной индукции Фарадея. В 1831 году он поставил опыт, экспериментально показывающий, что переменное магнитное поле, возникающее от протекания тока в одном проводнике, индуцирует ток в другом проводнике. Сила тока пропорциональна скорости изменения магнитного потока:
(1)
(2)
Никола Тесла первым реализовал идею передачи электричества на расстоянии.
Зарядная площадка создаёт переменное магнитное поле за счёт находящейся в ней катушки (будем называть её «катушка, отдающая»). При перемещении телефона на эту площадку магнитное поле индуцирует переменный ток в катушке телефона (катушка, принимающая). При этом чем ближе друг к другу находятся проводники, тем сильнее возникающий индуцированный ток. Эти две катушки являются индуктивно связанными.
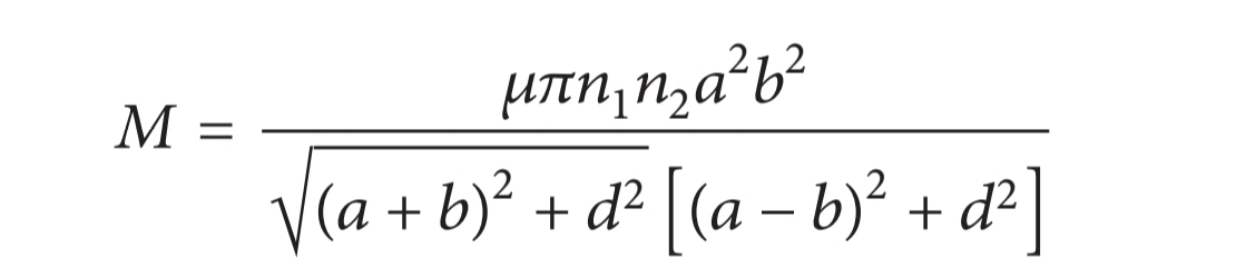
Взаимная индуктивность М определяет значение потокосцепления второй катушки с магнитным полем, созданным током первой катушки. Она зависит от размеров катушек, их расположения друг относительно друга, а также от магнитной проницаемости среды между катушками.
(3)
Величина ЭДС, возникающая во второй катушке:
(4)
Знак минус в формуле показывает, что возникающая ЭДС противодействует причине её возникновения.
Так, из формул (3) и (4) понятно, что ЭДС зависит от расстояния между катушками и убывает пропорционально кубу расстояния между ними.
Система «катушка, отдающая» и «катушка, принимающая» по сути своей является трансформатором с воздушным сердечником, за счёт чего появляются первые потери энергии в сравнении с ферритным сердечником. Таким образом, для достижения минимальных потерь в системе телефон — беспроводная зарядка нужно, чтобы расстояние между ними было минимальным. Даже небольшое смещение приводит к большим потерям.
Эффективность передачи энергии может быть повышена за счёт введения резонанса. Резонанс напряжений в последовательном колебательном контуре позволяет компенсировать реактивное сопротивление катушки, обеспечивая максимальный ток при минимальном напряжении. В системах Qi это реализуется включением конденсатора последовательно с катушкой. Рабочая частота — 100–205 кГц.
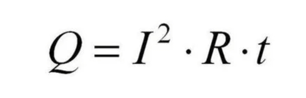
Тепловые потери — одна из основных причин снижения КПД беспроводной зарядки. Их природа обусловлена конечным активным сопротивлением проводников катушек, а также диэлектрическими потерями в изоляционных материалах. Рассеиваемая мощность подчиняется закону Джоуля–Ленца:
(5)
На рабочих частотах определяющую роль играет скин-эффект. Переменное поле вытесняет ток к поверхности проводника, сокращая его эффективное поперечное сечение.
Глубина скин-слоя:
(6)
С ростом частоты δ уменьшается, а эффективное сопротивление обмотки возрастает. Это влечёт рост омических потерь. Магнитное поле смежных витков перераспределяет локальную плотность тока, дополнительно увеличивая потери сверх расчётного скин-вклада.
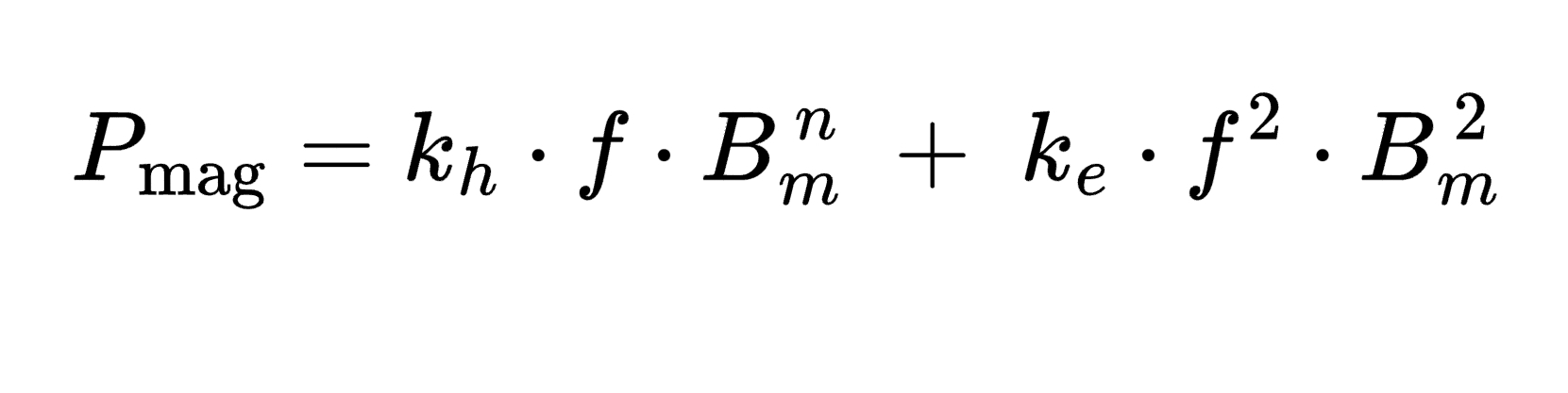
Также стоит выделить два вида потерь, связанных с ферритовыми экранами, которые концентрируют ток в катушках. Это потери, связанные с токами Фуко и гистерезисом.
Переменное поле индуцирует в феррите замкнутые вихревые токи, мощность которых пропорциональна квадрату частоты и квадрату амплитуды магнитной индукции. Поэтому выбор рабочей индукции критически важен: даже небольшое повышение. В при высокой частоте приводит к резкому росту потерь.
Магнитное поле внутри сердечника трансформатора постоянно меняет своё направление, что приводит к необратимому перемагничиванию доменов. За каждый цикл перемагничивания рассеивается энергия, пропорциональная площади петли гистерезиса. В отличие от вихревых токов, которые растут квадратично, потери на гистерезис повышаются линейно. В связи с этим на низких частотах они доминируют. Суммарные магнитные потери:
(7)
Это оптимальное соотношение частоты и амплитуды индукции, при которых суммарные магнитные потери минимальны для заданного уровня передаваемой мощности.
На практике суммарные потери в сердечнике оцениваются по эмпирической формуле Штейнметца с материальными константами, определяемыми экспериментально для конкретной марки феррита.
В настоящее время выделяют несколько методов повышения эффективности.
Литцендрат. Замена сплошного проводника многожильным литцендратом, у которого диаметр каждой жилы не превышает удвоенную глубину скин-слоя, обеспечивает равномерное распространение тока по сечению и кратное снижение эффективного сопротивления обмотки. Параллельно применяются ферритовые экраны, которые концентрируют поток и подавляют паразитное рассеяние.
Резонансная компенсация. Введение компенсирующих конденсаторов в первичный и вторичный контуры переводит систему в резонансный режим, при котором реактивная мощность циркулирует между катушками, не нагружая источник питания. Стандарт Qi предусматривает четыре топологии компенсации, выбор между которыми определяется характером нагрузки и допустимой расстройкой резонанса при смещении катушек.
Адаптивное управление. Протокол Qi реализует замкнутую обратную связь через модуляцию нагрузки. Приёмник передаёт пакеты данных о принимаемой мощности, а контроллер передатчика непрерывно корректирует рабочую частоту и амплитуду питающего напряжения, удерживая систему в оптимальной рабочей точке.
Многокатушечные матрицы. Фазированные решётки передающих катушек формируют результирующее поле как суперпозицию вкладов отдельных элементов. Оптимизация амплитуд и фаз токов в каждой катушке методами наименьших квадратов позволяет максимизировать плотность потока в зоне приёмника при одновременной минимизации суммарных потерь в матрице.
Список литературы
- 1. Вайнштейн, Л. А. Электромагнитные волны : учебное пособие для вузов / Л. А. Вайнштейн. — Москва : Радио и связь, 1988. — 440 с. — Примеч.: с. 112–118 (закон электромагнитной индукции Фарадея), с. 205–210 (потери в магнитных материалах).
- 2. Курс, А. Беспроводная передача энергии посредством сильно связанных магнитных резонансов / А. Курс, А. Каралис, Р. Моффатт [и др.] // Наука. — 2007. — Т. 317, № 5834. — С. 83–86. — Оригинал: Kurs A., Karalis A., Moffatt R., et al. Wireless Power Transfer via Strongly Coupled Magnetic Resonances // Science. — 2007. — Vol. 317, № 5834. — P. 83–86. — DOI 10.1126/science.1143254. — Примеч.: с. 84–85 (физика резонансной передачи), с. 86 (оценка КПД).
- 3. Ли, С. Беспроводная передача энергии для электромобилей : обзор технологий / С. Ли, Ч. Ми // Журнал по перспективным темам силовой электроники. — 2015. — Т. 3, № 1. — С. 4–17. — Оригинал: Li S., Mi C. Wireless Power Transfer for Electric Vehicle Applications // IEEE Journal of Emerging and Selected Topics in Power Electronics. — 2015. — Vol. 3, № 1. — P. 4–17. — DOI 10.1109/JESTPE.2014.2319453. — Примеч.: с. 8–10 (потери в катушках), с. 12–14 (методы повышения эффективности).
- 4. Техас Инструментс. Характеристики магнитных сердечников : справочный материал SLUP124 / Техас Инструментс. — 2021. — 24 с. — URL: https://www.ti.com/lit/ml/slup124/slup124.pdf (дата обращения: 25.04.2026). — Текст : электронный. — Примеч.: с. 5–7 (потери на вихревые токи и гистерезис), с. 9 (скин-эффект в ферритах).
- 5. Фарадей, М. Экспериментальные исследования по электричеству : избранные труды / М. Фарадей ; перевод с английского. — Москва : Наука, 1987. — 384 с. — Примеч.: с. 45–52 (опыты по электромагнитной индукции, 1831 г.).
- 6. Barth, D. Litz wire design for wireless power transfer in electric vehicles / D. Barth, B. Klaus, T. Leibfried // 2017 IEEE Wireless Power Transfer Conference (WPTC). — Taipei, 2017. — P. 1–4. — DOI 10.1109/WPT.2017.7953819. — Текст : англ. — Примеч.: p. 2–3
- 7. Wireless Power Consortium. Qi System Description: Power Class 0 Extended Power Profile Specification. Version 1.3.3 / Wireless Power Consortium. — 2022. — 248 p. — URL: https://www.wirelesspowerconsortium.com (дата обращения: 25.04.2026). — Текст : англ. — Примеч.: p. 12–18 (принцип индуктивной передачи), p. 45–50 (резонансная компенсация), p. 88–92 (протокол связи и управление мощностью).
- 8. Duarte, R. M. Анализ коэффициента связи в системах индуктивной передачи энергии / R. M. Duarte, G. K. Felic // Active and Passive Electronic Components. – 2014. – Т. 2014, № статьи 951624. – С. 1–6. – DOI: 10.1155/2014/951624.


