Математическое моделирование временных рядов является важным инструментом анализа социально-экономических процессов. Оно позволяет выявлять закономерности изменения показателей во времени, а также осуществлять их прогнозирование.
Рассмотрим временной ряд валового внутреннего продукта (ВВП) Российской Федерации за период 2011–2025 гг.
В таблице 1 приведены фактические значения ВВП Российской Федерации за 2011–2025 гг., отражающие общий рост показателя во времени.
Таблица 1.
Фактические значения ВВП РФ (2011–2025 гг.)
|
Год |
ВВП, млрд руб. |
|
2011 |
60 114 |
|
2012 |
68 103 |
|
2013 |
72 986 |
|
2014 |
79 030 |
|
2015 |
83 087 |
|
2016 |
85 616 |
|
2017 |
918 43 |
|
2018 |
103 861 |
|
2019 |
109 608 |
|
2020 |
107 658 |
|
2021 |
134 728 |
|
2022 |
157 001 |
|
2023 |
174 266 |
|
2024 |
202 320 |
|
2025 |
213 516 |
Данные взяты с сайта www.rosstat.gov.ru[5].
Также стоит отметить, что в формулах будет использована переменная t, которая равна порядковому номеру года. То есть t = 1 для 2011 года, t = 2 для 2012 года и так далее.
Линейная модель.
Линейная модель имеет вид:
(1)
где
𝑎 и b — некоторые константы.
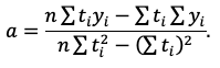
Вычислим же их с помощью регрессионного анализа [1]:
(2)
(3)
И получим следующие значения: a = 10407,750714, а b = 32987,247619.
Подставляем полученные коэффициенты в уравнение:
(4)
Гиперболическая модель.
Гиперболическая модель имеет вид:
(5)
где a и b — некоторые константы.
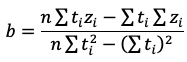
Будем вычислять с помощью регрессионного анализа [1].
Сделаем замену переменной:
(6)
Найдём b:
(7)
И найдём a:
(8)
И после вычислений получаем следующее: a = 142419.995213, b = -142419.995213. Подставляем и получаем:
(9)
Показательная модель.
Показательная модель имеет вид:
(10)
И снова регресионный анализ [1].
Логарифмирование:
(11)
Обозначим:
(12)
Коэффициент b:
(13)
Вычислим ln A:
(14)
Найдём A:
(15)
Вычисления привели к следующему: b = 0,08781302621, A = 0,08781302621.
Подстановка:
(16)
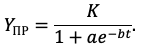
Модель Перла–Рида.
Модель Перла–Рида имеет вид:
(17)
Вычислим методом наименьших квадратов [4].
Критерий подбора параметров:
(18)
Результаты вычислений: K = 9999999,98, a = 205,298303, b = 0,098760644.
Подставляем:
(19)
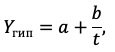
Модель Гомперца.
Она имеет вид:
(20)
Используем регресионный анализ [2].
Параметры K, a, b также находятся численно из условия:
(21)
В результате подбора были получены следующие значения констант: K = 9999999,98, a = 205,298303, b = 0,098760644.
(22)
Таблица с результатами вычислений всех упомянутых математических моделей.
Таблица 2.
Таблица с ВВП по годам и значениями моделей
|
Год |
Линейная |
Гиперболическая |
Показательная |
Перла-Рида |
Гомперца |
|
2011 |
43 395,0 |
24 115,1 |
58 204,5 |
53 478,2 |
52 871,1 |
|
2012 |
53 802,7 |
83 267,6 |
63 546,7 |
58 996,6 |
58 552,1 |
|
2013 |
64 210,5 |
102 985,1 |
69 379,3 |
65 080,8 |
64 803,2 |
|
2014 |
74 618,3 |
112 843,9 |
75 747,2 |
71 787,8 |
71 677,3 |
|
2015 |
85 026,0 |
118 759,1 |
82 699,6 |
79 180,5 |
79 232,0 |
|
2016 |
95 433,8 |
122 702,6 |
90 290,1 |
87 327,8 |
87 529,5 |
|
2017 |
105 841,5 |
125 519,4 |
98 577,2 |
96 305,3 |
96 637,3 |
|
2018 |
116 249,3 |
127 632,0 |
107 625,0 |
106 195,9 |
106 628,5 |
|
2019 |
126 657,0 |
129 275,1 |
117 503,3 |
117 090,1 |
117 582,2 |
|
2020 |
137 064,8 |
130 589,6 |
128 288,2 |
129 087,4 |
129 584,0 |
|
2021 |
147 472,5 |
131 665,1 |
140 062,9 |
142 296,3 |
142 726,2 |
|
2022 |
157 880,3 |
132 561,4 |
152 918,5 |
156 835,3 |
157 108,9 |
|
2023 |
168 288,0 |
133 319,7 |
166 953,9 |
172 833,8 |
172 839,8 |
|
2024 |
178 695,8 |
133 969,8 |
182 277,6 |
190 432,6 |
190 035,3 |
|
2025 |
189 103,5 |
134 533,1 |
199 007,7 |
209 785,2 |
208 820,8 |
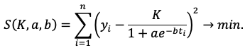
График с фактическими значениями ВВП в период с 2011 по 2025 годы и моделями, а также прогноз на последующие 5 лет.

График 1. ВВП РФ 2011-2025 годы и прогноз на 5 лет
Заключение.
Проведённое моделирование показало, что не все рассмотренные функции одинаково хорошо описывают динамику ВВП Российской Федерации.
Гиперболическая модель оказалась наименее подходящей, поскольку она слишком быстро выходит на предельное значение и существенно отклоняется от фактических данных. Поэтому использовать её для описания и прогнозирования данного временного ряда нецелесообразно.
Линейная модель удовлетворительно отражает общий тренд роста ВВП, однако не учитывает ускорение в последние годы, вследствие чего её точность ограничена.
Показательная модель лучше описывает возрастающий характер динамики и является более подходящей по сравнению с линейной и гиперболической моделями.
Модели Перла–Рида и Гомперца показали наилучшее согласование с фактическими данными, так как позволяют учитывать нелинейный рост и возможное замедление в перспективе. Среди всех рассмотренных моделей именно они являются наиболее адекватными для описания исследуемого временного ряда.
Таким образом, для анализа и прогнозирования ВВП РФ наиболее целесообразно использовать модель Перла–Рида и модель Гомперца, тогда как гиперболическая модель для данной задачи не подходит, а линейная и показательная модели могут рассматриваться как более простые приближённые варианты.
Список литературы
- Харченко М. А. Корреляционный анализ. — Воронеж, 2008. — 31 с.
- Кремер Н. Ш., Путко Б. А. Эконометрика / под ред. Н. Ш. Кремера. — М., 2010. — 328 с.
- Лукашин Ю. П. Адаптивные методы краткосрочного прогнозирования временных рядов. М., 2003. 416 с.
- Моделирование социально-экономических процессов: учебное пособие / Е. П. Енина; ФГБОУ ВО «Воронежский государственный технический университет». – Воронеж: Изд-во ВГТУ, 2020. – 124 с.
- Федеральная служба государственной статистики. Валовый внутренний продукт. URL: https://www.rosstat.gov.ru/storage/mediabank/VVP_god_s_1995-2025.xlsx
- Лившиц В.И., Дукарт С.А., Ермушко Ж. А. Экономическая теория. Макроэкономика: Учебное пособие / Том. политехн. ун-т. — Томск, 2008. — 110 с.


