Введение
В условиях стремительного роста онлайн-сервисов ключевую роль в конкурентоспособности играет способность эффективно отслеживать и анализировать поведение пользователей. Инструменты аналитики позволяют не только выявлять популярные функции и предпочтения аудитории, но и оперативно реагировать на технические сбои.
Интеграция систем мониторинга технических событий и аналитики поведения становится неотъемлемой частью разработки современных веб-приложений. Это позволяет не только повышать качество сервиса, но и улучшать бизнес-метрики, такие как удержание аудитории и конверсия. Данная задача особенно актуальна для онлайн-кинотеатров, где надежность и персонализация напрямую влияют на удовлетворенность пользователей [1].
Постановка задачи
Целью данной работы является разработка веб-приложения онлайн-кинотеатра с интеграцией инструментов для отслеживания технических и пользовательских событий, а также формирование подхода к анализу пользовательского поведения и проверке гипотез по улучшению пользовательского интерфейса на основе собранных данных.
Основными этапами достижения поставленной цели являются:
- разработка веб-приложения онлайн-кинотеатра;
- интеграция инструментов аналитики для отправки технических и пользовательских событий;
- формулировка гипотез, направленных на улучшение навигации пользователей по каталогу фильмов и повышение эффективности поиска интересующего контента;
- проведение A/B-экспериментов и анализ собранных данных пользовательского поведения.
Описание разработанного приложения и интеграция аналитики
В рамках работы было разработано веб-приложение онлайн-кинотеатра, позволяющее пользователям просматривать информацию о фильмах и актёрах, а также воспроизводить видеоконтент. Приложение реализует базовые функции современного онлайн-кинотеатра: каталог фильмов, страницы с подробной информацией о фильмах и актёрах, видеоплеер для воспроизведения контента, а также элементы пользовательского взаимодействия, такие как поиск и навигация между страницами.
Архитектура приложения построена по клиент-серверной модели. Клиентская часть реализована с использованием фреймворка React, который обеспечивает динамическое обновление интерфейса и удобную работу с пользовательскими событиями. Серверная часть предоставляет REST API для получения информации о фильмах, актёрах и других данных, необходимых для отображения страниц приложения [2].
Для сбора аналитических данных был выбран инструмент поскольку данная платформа поддерживает сбор как пользовательских, так и технических событий, предоставляет гибкие возможности настройки аналитики.
Интеграция Firebase была выполнена путем подключения библиотеки аналитики к клиентской части приложения и инициализации сервиса при запуске системы. После этого в ключевых точках интерфейса были добавлены вызовы функций отправки аналитических событий. Это позволило фиксировать различные действия пользователей [3].
Формулировка и проверка гипотез
После интеграции системы аналитики были сформулированы гипотезы, направленные на улучшение навигации пользователей по каталогу фильмов и повышение вероятности перехода к просмотру контента. Проверка гипотез осуществлялась с использованием A/B-экспериментов, при которых пользователи случайным образом разделялись на контрольную и экспериментальную группы.
Гипотеза 1
Гипотеза предполагает, что наличие блока похожих фильмов на странице фильма увеличивает вероятность того, что пользователь продолжит навигацию по каталогу и перейдёт к просмотру других фильмов.

Рисунок 1. Страница фильма с блоком похожих фильмов
Для проверки данной гипотезы пользователи также были разделены на две группы:
- контрольная группа (A) – пользователям отображалась страница фильма без блока похожих фильмов;
- экспериментальная группа (B) – пользователям отображалась страница фильма с блоком рекомендаций похожих фильмов, подобранных по жанру.
Для анализа пользовательского поведения фиксировались следующие события:
- similar_block_viewed — пользователю был показан блок похожих фильмов;
- similar_movie_click — пользователь перешёл на страницу одного из предложенных фильмов.
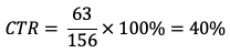
Основной метрикой эксперимента являлся показатель CTR (Click-Through Rate), рассчитываемый как отношение количества кликов по фильмам к количеству показов блока [4].

В эксперименте приняли участие 50 пользователей, которые были разделены на контрольную и экспериментальную группы.
На основе полученных данных были рассчитаны показатели взаимодействия пользователей с блоком рекомендаций.
Таблица 1.
Результаты эксперимента по второй гипотезе
|
Группа |
Пользователи |
similar_block_viewed |
similar_movie_click |
CTR |
|
A – без блока |
25 |
0 |
0 |
– |
|
В – с блоком |
25 |
156 |
63 |
40% |
CTR экспериментальной группы составил:
![]()
Полученные результаты показывают, что пользователи активно взаимодействуют с блоком рекомендаций и переходят к просмотру других фильмов. Следовательно, наличие блока похожих фильмов способствует увеличению активности пользователей при навигации по каталогу фильмов, что подтверждает выдвинутую гипотезу.
Гипотеза 2
Гипотеза предполагает, что при возникновении ошибки воспроизведения видео отображение пользователю сообщения с возможностью перезапуска плеера увеличивает количество успешных восстановлений и закрепит пользователя на сайте, уменьшая потенциальный отток пользователей.

Рисунок 2. Сообщение об ошибке воспроизведения
Для проверки данной гипотезы пользователи также были разделены на две группы:
- контрольная группа (A) – при возникновении ошибки воспроизведения пользователю не отображается сообщение и возможность перезапуска плеера;
- экспериментальная группа (B) – при возникновении ошибки пользователю отображается сообщение с кнопкой «Перезапустить плеер», позволяющей повторно инициализировать видеоплеер без перезагрузки страницы.
Для анализа пользовательского поведения фиксировались следующие события:
- player_error – произошла ошибка воспроизведения видео;
- player_retry_click – пользователь нажал кнопку перезапуска плеера;
- player_play_started – видео успешно начало воспроизводиться;
- player_play_started (after_error = true) – успешный запуск видео после возникновения ошибки.
В качестве основной метрики использовался показатель Recovery Rate, отражающий долю успешных запусков видео после возникновения ошибки.

В эксперименте приняли участие 50 пользователей, которые были равномерно распределены между контрольной и экспериментальной группами.
На основе полученных данных были рассчитаны показатели взаимодействия пользователей с блоком рекомендаций.
Таблица 2.
Результаты эксперимента по гипотезе
|
Группа |
Пользователи |
player_error |
player_retry_click |
player_play_started (after_error = true) |
RecoveryRate |
|
A – без подсказки |
25 |
8 |
0 |
2 |
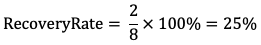
25% |
|
В – с подсказкой и кнопкой |
25 |
9 |
6 |
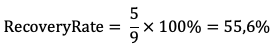
5 |
55,6% |
Для экспериментальной группы показатель Recovery Rate составил:
![]()
Для контрольной группы показатель Recovery Rate составил:
![]()
Полученные результаты показывают, что в экспериментальной группе пользователи значительно чаще успешно восстанавливают воспроизведение видео после возникновения ошибки.
В контрольной группе лишь небольшая часть пользователей смогла продолжить просмотр, вероятно за счёт повторных попыток запуска видео или перезагрузки страницы. В то же время в экспериментальной группе наличие явного сценария восстановления (кнопки перезапуска плеера) позволило пользователям быстрее и проще продолжить просмотр.
Таким образом, добавление сообщения об ошибке и возможности перезапуска видеоплеера существенно повышает вероятность успешного восстановления воспроизведения и улучшает пользовательский опыт.
Заключение
В ходе работы было разработано веб-приложение онлайн-кинотеатра с интеграцией инструментов аналитики. Проведённые A/B-эксперименты показали, что использование данных позволяет улучшить навигацию пользователей и уменьшить потенциальный отток пользователей из-за ошибок. Полученные результаты подтверждают эффективность анализа пользовательских событий для повышения качества системы и пользовательского опыта.
Список литературы
- Веб-аналитика [Электронный ресурс]: – URL: https://www.unisender.com/ru/glossary/chto-takoe-veb-analitika/ (11.01.2026)
- Архитектура информационных систем [Электронный ресурс]: – URL: https://kpfu.ru/staff_files/F_1284155032/Arkhitektura_informacionnykh_sistem.pdf (15.01.2026)
- Setting Up Firebase Analytics in Your Project [Электронный ресурс]: – URL: https://www.geeksforgeeks.org/setting-up-firebase-analytics-in-your-project/ (25.01.2026)
- Выбрать лучшее: что такое A/B‑тесты и как их проводить [Электронный ресурс]: – URL: https://www.bitrix24.ru/journal/a-b-test/ (01.02.2026)
- CTR в рекламе [Электронный ресурс]: – URL: https://yandex.ru/adv/edu/materials/click-through-rate-v-reklame (04.02.2026)


