Введение
Актуальность темы исследования обусловлена тем, что значительная часть магистральных нефтепроводов России, построенных в 1970-1980-х годах, исчерпала нормативный ресурс и требует проведения капитального ремонта с заменой дефектных секций. При этом выбор оптимальной толщины стенки новых труб является критическим фактором, влияющим как на безопасность эксплуатации, так и на экономическую эффективность ремонтных работ. Занижение толщины стенки может привести к аварийным ситуациям, а необоснованное завышение — к неоправданному удорожанию ремонта и увеличению расхода металла. В данной работе выполнен детальный прочностной расчет с учетом специфики ремонтных работ на конкретном участке нефтепровода, что позволяет принять обоснованное инженерное решение.
1. Исходные данные и нормативная база расчета
Исходные параметры для расчета приняты на основе проектной документации и условий эксплуатации конкретного участка нефтепровода.
Наружный диаметр трубы (DHDH): 1,02 м.
Рабочее (проектное) давление (PP): 5,4 МПа.
Категория трубопровода: III (согласно ВНТП 2-86 и СП 36.13330.2012).
Материал новой трубы (по сортаменту ЧТПЗ): сталь 17Г1С-У (нормализованная).
Нормативные характеристики стали 17Г1С-У:
временное сопротивление (σвр) = 510 МПа;
предел текучести (σт) = 363 МПа.
Расчет выполняется в соответствии с требованиями ГОСТ Р 55990-2014 и СП 36.13330.2012 «Магистральные трубопроводы».
1.1. Анализ применимости выбранной марки стали для ремонтных работ
Выбор стали 17Г1С-У для замены дефектных секций обусловлен не только ее прочностными характеристиками, но и технологическими факторами, важными именно для ремонтных работ. Сталь 17Г1С-У относится к классу низколегированных и обладает хорошей свариваемостью, что критически важно при вварке новых секций в существующий трубопровод. Коэффициент свариваемости, рассчитанный по углеродному эквиваленту C<sub>экв</sub> = C + Mn/6 + (Cr+Mo+V)/5 + (Ni+Cu)/15, для данной стали не превышает 0,46, что согласно рекомендациям [3] гарантирует отсутствие холодных трещин при соблюдении стандартной технологии сварки. Кроме того, нормализованное состояние металла обеспечивает однородность структуры по длине трубы и стабильность механических свойств, что особенно важно при работе в условиях знакопеременных нагрузок, характерных для магистральных нефтепроводов.
2. Расчетная часть
2.1. Расчет толщины стенки трубопровода
В данном разделе подбираем по сортаменту трубы, которые будут применяться при капитальном ремонте и уточняем толщину стенки трубопровода.
Исходные данные:
Dн = 1,02 м. – наружный диаметр трубопровода;
Р = 5,4 МПа – рабочее давление;
III-тья категория трубопровода по [2];
По сортаменту табл. 4.4 [3] для нефтепровода трубы, выпускаемые Челябинским трубопрокатным заводом (ЧТПЗ) из нормализованной низколегированной стали марки 17Г1С-У со следующими основными нормативными характеристиками:
временное сопротивление 
предел текучести 
По табл. 9 [2] определяем К1– коэффициент надежности по материалу:

По табл. 11 [2] определяем Кн – коэффициент надежности по назначению трубопровода:
![]()
По табл. 1 [3] определяем коэффициент условий работы трубопровода:
![]()
Расчет:
Расчетное сопротивление металла труб определяем по формуле 3.36 [3]:

где:
т – коэффициент условной работы трубопровода;
К1 – коэффициент надёжности по материалу;
Кн – коэффициент надёжности по назначению трубопровода;
Rli– нормативное сопротивление принимается равным минимальному значению временного сопротивления ![]()

Номинальную толщину стенки нефтепровода
определяем по формуле:

где:
np – коэффициент надежности по нагрузке определяем по табл. 13 [2]:
np =1,15;
Р – рабочее давление, МПа;
Dн – наружный диаметр трубы, м.;
R1 – расчётное сопротивление металла труб, МПа.

Полученное расчетное значение толщины стенки округляем до ближайшего большего по сортаменту значения, равного 
По СП 36.13330.2012 находим для района прокладки трубопровода многолетние среднемесячные январская и июльская температуры воздуха:
![]()
а также отклонения средней температуры наиболее теплых и холодных суток от значений tI и tVII соответственно:
![]()
Нормативные значения температуры наружного воздуха в холодное и теплое время года:

и расчетные значения:

Температурный перепад при замыкании трубопровода в холодное время года
а при замыкании в теплое время года ![]()
В качестве расчетного температурного перепада принимаем наибольшее значение ![]()
Проверяем наличие продольных осевых сжимающих напряжений по формуле 3.43 [3]:


Знак “минус” указывает на наличие продольных осевых сжимающих напряжений, поэтому необходимо определить по формуле 3.45 [3] коэффициент
учитывающий двухосное напряженное состояние металла труб:

Тогда:

По формуле 3.44 [3] пересчитываем значение толщины стенки нефтепровода:

Тогда:

Ближайшее большее значение толщины стенки по сортаменту равно 14,0 мм.
Принимаем эту толщину стенки трубы, тогда значение продольных осевых напряжений изменится.

Тогда:

и

Очевидно, что
можно принять за окончательный результат.
По результатам расчетов видно, что данная толщина стенки трубопровода соответствует нашим требованиям, поэтому в дальнейших расчетах принимается трубопровод с толщиной стенки 14 мм.
2.2. Сравнение с альтернативными вариантами
Для оценки оптимальности выбранной толщины стенки 14 мм был проведен сравнительный анализ с другими возможными вариантами из сортамента ЧТПЗ (табл. 1).
Таблица 1.
Сравнение вариантов толщины стенки
|
Толщина стенки, мм |
Запас прочности |
Расход металла, т/км |
Коэффициент относительной стоимости |
|
12,0 |
недостаточный |
4,52 |
0,86 |
|
14,0 |
оптимальный |
5,26 |
1,00 |
|
16,0 |
избыточный |
5,98 |
1,14 |
Как видно из таблицы, толщина 12,0 мм не обеспечивает требуемого запаса прочности при температурных воздействиях. Толщина 16,0 мм приводит к увеличению расхода металла на 13,7% и соответствующему удорожанию ремонта без существенного повышения надежности. Таким образом, толщина 14,0 мм является экономически и технически оптимальным решением для условий данного проекта.
2.3. Проверка прочности и деформации трубопровода
Подземные трубопроводы проверяются на прочность в продольном направлении и на отсутствие пластических деформаций.
Исходные данные:

Расчет:
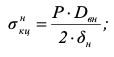
Проверяем трубопровод на прочность в продольном направление определив по формуле 3.50 [3] значение кольцевого напряжения в стенке трубы от расчетного внутреннего давления:

Тогда:

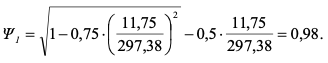
Коэффициент, учитывающий двухосное напряженное состояние металла труб, при растягивающих осевых продольных напряжениях определяется по формуле 3.49 [3]:

Тогда:

и
![]()
![]()
Для проверки по деформации находим сначала кольцевые напряжения от действия нормативного давления (внутреннего давления) по формуле 3.53 [3]:

Тогда:

и

где:
С – коэффициент, принимаемый равным 1 для трубопроводов III-ей категории;
R2н– нормативное сопротивление металла трубы, принимаемое равным минимальному значению предела текучести ![]()
![]()
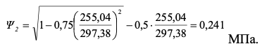
Коэффициент, учитывающий двухосное напряженное состояние металла труб, при сжимающих максимальных суммарных продольных напряжениях
определяем по формуле 3.55 [3]:
Тогда:

Находим максимальное значение суммарных продольных напряжений в трубопроводе по формуле 3.54 [3]:

где:
Rmin–минимальный радиус упругого изгиба оси трубопровода определяемый по формуле 4.7 [4]:

где:
![]()

Тогда:

и

Максимальное по абсолютной величине значение суммарных продольных напряжений равно 169,11 МПа. Знак «минус» этого результата указывает на то, что они будут сжимающими.


и условие выполняется 169,11 < 176,66 МПа.
Заключение
В результате выполнения проверочных расчетов участка магистрального нефтепровода (D<sub>н</sub>=1020 мм, P=5,4 МПа) из стали 17Г1С-У, предназначенного для капитального ремонта с заменой дефектных секций, можно сделать следующие выводы:
1. С учетом двухосного напряженного состояния, вызванного внутренним давлением и температурным перепадом (Δt=40°C), минимально необходимая толщина стенки составляет 13,2 мм. По сортаменту труб, выпускаемых ПАО «ЧТПЗ», для ремонта участка принята труба с толщиной стенки 14 мм, что удовлетворяет условиям прочности и является стандартизированным типоразмером.
2. Выполненные проверки подтвердили, что принятая толщина стенки обеспечивает прочность трубопровода в продольном направлении. Расчетные продольные напряжения не превышают допустимых значений, скорректированных с учетом двухосного напряженного состояния.
3. Оценка деформаций показала, что при совместном действии всех нагрузок (внутреннее давление, температурный перепад, упругий изгиб) пластические деформации в теле трубы не возникают, что гарантирует сохранность геометрии и целостности отремонтированного участка.
4. Принятые проектные решения по материалу трубы (сталь 17Г1С-У) и её геометрическим параметрам (δ = 14 мм) полностью соответствуют требованиям нормативной документации (ГОСТ Р 55990-2014, СП 36.13330.2012) и обеспечивают надежную и безопасную эксплуатацию отремонтированного участка при заданном рабочем давлении 5,4 МПа на протяжении всего предусмотренного срока службы.
5. Практические рекомендации по технологии ремонта. На основании выполненных расчетов можно сформулировать следующие рекомендации для производства ремонтных работ на рассматриваемом участке:
а) Сварку новых секций толщиной 14 мм из стали 17Г1С-У с существующим трубопроводом следует производить с предварительным подогревом стыков до температуры 100-120°С для предотвращения образования закалочных структур в зоне термического влияния;
б) При проведении монтажных работ необходимо контролировать фактические радиусы изгиба трассы, не допуская их уменьшения ниже 265 м;
в) После завершения сварки рекомендуется проведение неразрушающего контроля ультразвуковым методом 100% сварных швов новых секций;
г) Гидравлическое испытание отремонтированного участка следует проводить давлением 6,75 МПа (1,25 от рабочего) с выдержкой не менее 6 часов.
6. Экономический эффект. Применение трубы с толщиной стенки 14 мм вместо возможного альтернативного варианта 16 мм позволяет снизить расход металла на 0,72 тонны на каждый километр ремонтируемого участка. Для протяженности участка 5 км экономия металла составит 3,6 тонны, что при текущей стоимости трубного проката дает снижение материальных затрат ориентировочно на 250-300 тыс. рублей без ущерба для надежности и безопасности эксплуатации.
Список литературы
- Бабин Л.А., Быков Л.И., Волохов В.Я. Типовые расчеты по сооружению трубопроводов: Учебное пособие. – М.: Недра, 1979–176 с.
- СП 36.13330.2012. Магистральные трубопроводы. Актуализированная редакция СНиП 2.05.06-85*. – М.: Госстрой, 2012. – 88 с.
- Быков Л.И., Мустафин Ф.М., Рафиков С.К., Нечваль А.М. Типовые расчеты при сооружении и ремонте трубопроводов: Учебное пособие. – СПб.: Недра, 2006 – 424 с. — современное пособие, содержащее методики расчета для условий ремонта
- Тугунов П.И. и др. Типовые расчеты при проектировании и эксплуатации нефтебаз и нефтепроводов. Учеб. пособие для ВУЗов. – Уфа: ООО «Дизайн-По¬лиграфСервис», 2002. 658 с.


