ВЫВОД ГРАВИТАЦИОННОЙ ПОСТОЯННОЙ G ИЗ МИКРОСКОПИЧЕСКИХ ПАРАМЕТРОВ ТЕОРИИ СИНХРОНИЗИРОВАННОГО ФАЗОВОГО ПОЛЯ

ВЫВОД ГРАВИТАЦИОННОЙ ПОСТОЯННОЙ G ИЗ МИКРОСКОПИЧЕСКИХ ПАРАМЕТРОВ ТЕОРИИ СИНХРОНИЗИРОВАННОГО ФАЗОВОГО ПОЛЯ

Авторы публикации

Рубрика

Физика

Просмотры

110

Журнал

Журнал «Научный лидер» выпуск # 10 (263), Март ‘26

Поделиться

Показана возможность вывода гравитационной постоянной из предположений теории синхронизированного фазового поля (СФП) на основе внутренних микроскопических параметров сети.

1. Исходные положения теории

1.1. Дискретная формулировка (без внешнего времени)

В основе теории лежат осцилляторы — тождественные сущности, обладающие только фазой θ  [0, 2π). Эволюция системы задается дискретным уравнением:

где:

  • — номер итерации (глобальный счётчик, не время!)
  • ω— собственное приращение фазы за шаг [рад/шаг]
  • σ — константа связи [рад/шаг]
  • mij — целочисленная задержка сигнала от j к i [шагов]

Ключевой момент: На этом уровне все величины безразмерны. Физические размерности появляются только при калибровке теории под наш мир.

1.2. Возникновение времени

Время возникает как нормированная фаза референтного осциллятора:

где Ω — средняя частота синхронизованной сети. При переходе к непрерывному описанию вводится длительность шага Δt:

1.3. Возникновение пространства

Пространство возникает из задержек mᵢⱼ. При введении скорости света c:

Rij=mijcΔt [метры] 

Таким образом, расстояние — это задержка, выраженная в метрах через c.

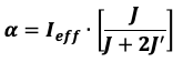
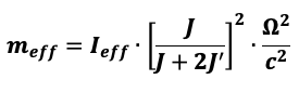
2. Вывод эффективной массы

Из анализа динамики трёх осцилляторов (Шаг 6 исходных выкладок) получено выражение для эффективной массы в дискретной теории:

где:

  • J=σcos(φ) — "жёсткость" связи [рад/шаг]
  • J' — жёсткость связи между другими осцилляторами
  • Ieff — безразмерный геометрический фактор (~2 для трёх осцилляторов)
  • Ω — синхронная частота [рад/шаг]
  • — скорость света [безразмерна в дискретной теории]

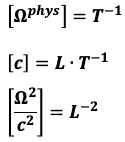
Важно: В дискретной теории Ω и c — безразмерны, поэтому meff тоже безразмерна.

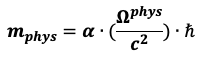
3. Переход к физической размерности массы

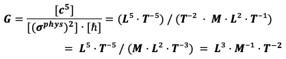
Чтобы получить массу в килограммах, необходима калибровка с использованием фундаментальных констант. Анализ размерностей показывает:

Для получения размерности массы нужен множитель с размерностью M·L², т.е. действие (постоянная Планка ħ):

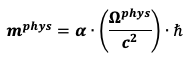
Таким образом:

где α — безразмерный фактор связности из дискретной теории:

ħ возникает не как внешний добавленный элемент, а как неизбежный мост между:

  • Дискретным миром чистых отношений (без размерностей)
  • Непрерывным миром наших измерений (с секундами, метрами, килограммами)

Этот мост — квантовый принцип, выраженный в том, что действие всегда кратно ħ.

4. Вывод гравитационной постоянной G

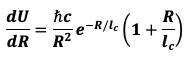
4.1. Энергия связи двух осцилляторов

В синхронизованной сети энергия взаимодействия двух осцилляторов на расстоянии R имеет вид (аналогично потенциалу Юкавы):

Где — характерная длина корреляции (расстояние, на котором сигнал затухает за время подстройки).

4.2. Сила взаимодействия

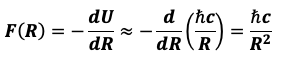
На больших расстояниях (Rlc) экспонента стремится к 1, и потенциал принимает вид:

Тогда сила:

Если не пренебрегать экспонентой, то:

Тогда сила:

4.3. Сравнение с законом Ньютона

По закону тяготения Ньютона, сила между двумя массами m:

Приравнивая выражения:

4.4. Подстановка массы

Подставляем выражение для физической массы:

Тогда:

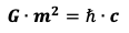
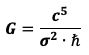
Отсюда:

5. Выражение через микроскопические параметры

В синхронизованном режиме Ωphysω0phys. Безразмерный фактор α зависит от σ и геометрии сети. В первом приближении:

Тогда:

где — безразмерная константа порядка единицы, включающая усреднение по J, J' и геометрии сети.

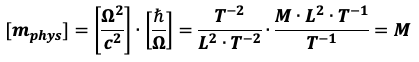
6. Проверка размерности

Все корректно!

7. Физическая интерпретация

Полученное выражение имеет глубокий смысл:

Гравитационная постоянная G возникает из трёх фундаментальных величин:

  • — скорость света (или предельная скорость передачи сигналов)
  • ℏ — постоянная Планка (квант действия, масштаб фазовой когерентности)
  • σphys — частота связи между осцилляторами (сила взаимодействия в сети)

7.1. Зависимость от σ

Чем сильнее связь между осцилляторами (больше σ), тем слабее гравитация.
Чем слабее связь, тем гравитация сильнее.

Это согласуется с интуицией: в рыхлой сети труднее двигать объекты (больше инертная масса) и сильнее гравитационное притяжение.

7.2. Численная оценка для нашего мира

Подставим известные значения:

  • = 6.674·10⁻¹¹ м³·кг⁻¹·сек⁻²
  • = 2.998·10⁸ м/сек
  •  = 1.055·10⁻³⁴ Дж·сек

Из формулы

получаем:

Характерное время

это планковское время.

Вывод: в непрерывном пределе

что естественно для теории, объединяющей гравитацию и квантовую механику.

8. Следствия для теории

  1. G не фундаментальна — она выражается через микроскопические параметры сети осцилляторов.
  2. Единство взаимодействий — гравитация и квантовые эффекты возникают из одного источника: синхронизации фазовых осцилляторов.
  3. Предсказательная сила — теория даёт соотношение между фундаментальными константами, которое может быть проверено численно.
  4. Принцип Маха — масса и гравитация полностью определяются структурой связей в сети, а не внутренними свойствами изолированных объектов.

Список литературы

  1. Milgrom, M. A modification of the Newtonian dynamics as a possible alternative to the hidden mass hypothesis / M. Milgrom // The Astrophysical Journal. – 1983. – Vol. 270. – P. 365-370
  2. Sanders, R.H. Modified Newtonian Dynamics as an Alternative to Dark Matter / R.H. Sanders, S.S. McGaugh // Annual Review of Astronomy and Astrophysics. – 2002. – Vol. 40. – P. 263-317
  3. Volovik, G.E. The Universe in a Helium Droplet / G.E. Volovik. – Oxford: Oxford University Press, 2003. – 530 p.
  4. Dreyer, O. Emergent General Relativity / O. Dreyer // arXiv: General Relativity and Quantum Cosmology. – 2006. – arXiv:gr-qc/0604075
  5. Bekenstein, J. Does the missing mass problem signal the breakdown of Newtonian gravity? / J. Bekenstein, M. Milgrom // The Astrophysical Journal. – 1984. – Vol. 286. – P. 7-14
Справка о публикации и препринт статьи
предоставляется сразу после оплаты
Прием материалов
c по
Осталось 5 дней до окончания
Размещение электронной версии
Загрузка материалов в elibrary
Публикация за 24 часа
Узнать подробнее
Акция
Cкидка 20% на размещение статьи, начиная со второй
Бонусная программа
Узнать подробнее