Оценка эффективности системы наставничества в правоохранительных органах является важнейшим аспектом, позволяющим не только определить уровень реализации программ наставничества, но и выявить ключевые факторы успеха и проблемные зоны, требующие корректировки. Анализ опыта российских и зарубежных правоохранительных структур показывает, что подходы к оценке эффективности наставничества значительно варьируются в зависимости от организационных особенностей, культурных традиций и технологического уровня [2]. В данном разделе рассматриваются показатели эффективности системы наставничества.
За показатель эффективности системы наставничества в учреждениях по обеспечению общественного порядка и безопасности может быть взята степень удовлетворенности участников процесса наставничества (как наставников, так и наставляемых).
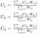
Формула расчета степени удовлетворенности участников процесса наставничества.
Базовая формула

где:
U - общий уровень удовлетворенности, %
Ui - уровень удовлетворенности i-той группы участников
Ki - весовой коэффициент i-той группы
n - количество групп участников
Группы участников и их коэффициенты
- Наставники (K1 = 0.4)
- Наставляемые (K2 = 0.4)
- Работодатель (K3 = 0.2)
Расширенная формула с учетом критериев оценки

где:
- Cij - оценка j-того критерия для i-той группы
- Wij - вес j-того критерия для i-той группы
- m - количество критериев оценки
Основные критерии оценки удовлетворенности
Для наставников:
- Эффективность передачи знаний (W11 = 0.3)
- Организационная поддержка (W12 = 0.2)
- Мотивация и стимулирование (W13 = 0.2)
- Временные затраты (W14 = 0.15)
- Психологический комфорт (W15 = 0.15)
Для наставляемых:
- Качество обучения (W21 = 0.3)
- Доступность наставника (W22 = 0.25)
- Практическая польза (W23 = 0.2)
- Психологическая поддержка (W24 = 0.15)
- Скорость адаптации (W25 = 0.1)
Для работодателя:
- Эффективность процесса (W31 = 0.4)
- Экономическая выгода (W32 = 0.3)
- Снижение текучести кадров (W33 = 0.2)
- Качество подготовки (W34 = 0.1)
Методика расчета
1. Сбор данных:
- Анкетирование участников
- Интервью
- Анализ обратной связи
- Оценка по 5-балльной шкале
2. Расчет по группам:

3. Общий расчет:

Интерпретация результатов
- Высокий уровень: 80-100%
- Средний уровень: 60-79%
- Низкий уровень: 40-59%
- Критический уровень: ниже 40%
Практические рекомендации
Периодичность оценки:
- Ежеквартально
- По завершении периода наставничества
- При изменении программы наставничества
Методы сбора данных:
- Опросы удовлетворенности
- Фокус-группы
- Индивидуальные интервью
- Анализ KPI
Корректирующие действия:
- При уровне ниже 60% - детальный анализ причин
- При уровне ниже 40% - пересмотр программы наставничества
- При уровне выше 80% – программа наставничества признается успешной
Для оценки эффективности системы наставничества используется подход, учитывающий мнения всех участников процесса. В основе лежит расчет общего уровня удовлетворенности, который формируется из оценок трех основных групп: наставников, наставляемых и работодателя [4].
При расчете учитывается, что мнение наставников и наставляемых имеет наибольший вес – по 40% каждый, в то время как оценка работодателя составляет 20%. Такой подход позволяет наиболее полно отразить все аспекты процесса наставничества.
Для каждой группы определены ключевые критерии оценки, имеющие различный вес в общей оценке. Наставники оценивают эффективность передачи знаний (30% веса), организационную поддержку (20%), мотивацию и стимулирование (20%), временные затраты и психологический комфорт (по 15%).
Наставляемые оценивают качество обучения (30%), доступность наставника (25%), практическую пользу (20%), психологическую поддержку (15%) и скорость адаптации (10%).
Работодатель оценивает общую эффективность процесса (40%), экономическую выгоду (30%), снижение текучести кадров (20%) и качество подготовки (10%).
Процесс оценки включает несколько этапов. Сначала проводится сбор данных через анкетирование, интервью и анализ обратной связи. Все показатели оцениваются по пятибалльной шкале. Затем рассчитывается средний уровень удовлетворенности для каждой группы участников, после чего формируется общий показатель с учетом весовых коэффициентов.
Полученный результат интерпретируется следующим образом: уровень выше 80% считается высоким и свидетельствует об успешной работе системы наставничества. Показатель в диапазоне 60-79% указывает на средний уровень, требующий некоторого улучшения. При уровне 40-59% система признается недостаточно эффективной, а показатель ниже 40% требует полного пересмотра программы наставничества.
Рекомендуется проводить оценку ежеквартально, а также по завершении периода наставничества или при внесении изменений в программу. Для сбора данных используются опросы удовлетворенности, фокус-группы, индивидуальные интервью и анализ ключевых показателей эффективности.
В случае если уровень удовлетворенности опускается ниже 60%, необходимо проводить детальный анализ причин. При показателе ниже 40% требуется полный пересмотр программы наставничества. Если же уровень превышает 80%, это свидетельствует об эффективности текущей системы и правильности выбранных подходов.
Можно выделить следующие показатели эффективности по Парето:
Критические показатели (80% влияния):
- Сокращение периода адаптации
- Высокий процент успешных аттестаций
- Низкая текучесть кадров
- Высокое количество поощрений
- Высокий уровень удовлетворенности
Второстепенные показатели (20% влияния):
- Психологический климат
- Мотивация к службе
- Качество передачи опыта
Анализ по принципу Парето показывает, что 80% эффективности системы обеспечивается за счет сокращения периода адаптации, повышения успешности аттестаций, снижения текучести кадров и роста удовлетворенности участников. Оставшиеся 20% влияния приходятся на такие важные, но менее значимые показатели как психологический климат, мотивацию к службе и качество передачи опыта.
Список литературы
- Управление персоналом : учебник / И.Б. Дуракова, Л.П. Волкова, Е.Н. Кобцева ; под ред. И.Б. Дураковой. — Москва : ИНФРА-М, 2023. — 570 с.
- Управление персоналом : учебное пособие / А.Я. Кибанов, Г.П. Гагаринская, О.Ю. Калмыкова, Е.В. Мюллер. — Москва : ИНФРА-М, 2020. — 238 с.
- Управление персоналом : учебное пособие / под общ. ред. Г. И. Михайлиной. - 6-е изд., стер. - Москва : Дашков и К, 2022. - 278 с.
- Душкин А. С., Гончарова Н. А., Коноплева И. Н., Костина Л. Н., Ковальчук И. А. Особенности профессиональных компетенций наставников и межличностных отношений наставников и стажёров в системе МВД России // Психология и право. 2022. Том 12. № 1. С. 54–66. URL: https://psyjournals.ru/journals/psylaw/archive/2022_n1/Dushkin_et_al (дата обращения: 15.05.2025)
- Заяев Е. Д. Наставничество в органах внутренних дел: правовое регулирование на отдельных этапах развития и пути совершенствования // Вестник Санкт-Петербургского университета МВД России. 2023. № 4 (100). С. 46–55. URL: https://vestnikspbmvd.ru/en/storage/download/139055 (дата обращения: 15.05.2025)
- Мухина Т. Г., Филиппова Т. В. Теоретические аспекты психолого-педагогического обеспечения наставничества в уголовно-исполнительной системе // Вестник Университета имени В. П. Минина. 2022. DOI: https://doi.org/10.26795/2307-1281-2022-10-8 (дата обращения: 15.05.2025)
- Ненашева Л. С., Иванов Е. Ю. Институционально-правовые аспекты организации наставничества в органах внутренних дел // Шаг в науку. 2025. №1. URL: https://cyberleninka.ru/article/n/institutsionalno-pravovye-aspekty-organizatsii-nastavnichestva-v-organah-vnutrennih-del (дата обращения: 15.05.2025)


