НАГЛЯДНЫЙ МЕТОД РЕШЕНИЯ ОДНОЙ ЗАДАЧИ С ПАРАМЕТРОМ

НАГЛЯДНЫЙ МЕТОД РЕШЕНИЯ ОДНОЙ ЗАДАЧИ С ПАРАМЕТРОМ

Авторы публикации

Рубрика

Математика

Просмотры

251

Журнал

Журнал «Научный лидер» выпуск # 43 (244), Октябрь ‘25

Поделиться

В статье рассмотрим наглядное решение одной задачи с параметром, представляющее интерес как для школьников, так и для учителей математики. Работа содержит геометрическое представление возможных случаев.

В данной статье разберемся со следующей задачей.

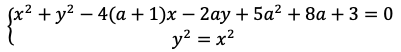
Найдите все значения a, при каждом из которых система уравнений

имеет ровно четыре различных решения [1].

Решение:

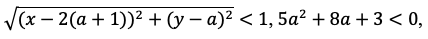
Первое уравнение системы преобразуем к виду (x-2(a+1))2+(y-a)2=1, которое представляет собой уравнение окружности ω с центром в точке O(2(a+1);aи радиусом 1. Второе уравнение задает пару пересекающихся прямых y=и y=-в точке O(0;0) [2].

Геометрически возможны три случая:

  1. Точка O(0;0) находится внутри круга, ограниченного окружностью ω, т.е. при |O,O1|<1;
  2. Точка O(0;0) находится на окружности ω, т.е. при |O,O1|=1;
  3. Точка O(0;0) находится вне окружности ω, т.е. при |O,O1|>1.

В первом случае очевидно будет 4 решения.

Рисунок 1. Первый случай

Во втором случае будет не более 3 решений.

Рисунок 2. Второй случай

В третьем случае система имеет 4 решения тогда и только тогда, когда окружность ω пересекается с каждой из прямых y=и y=-в различных точках.

Рисунок 3. Третий случай

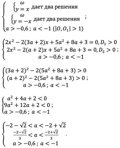
Рассмотрим 1 случай, т.е. |O,O1|<1,

-1<a<-0,6 – данное условие, когда точка O(0;0) находится внутри ωи наша система имеет 4 решения. Нужно заметить, что при a>-0,6 и a<-1 точка O(0;0) находится вне окружности ω.

Рассмотрим 3 случай, т.е. |O,O1|>1.

Рисунок 4. Координатная прямая

Решение данного случая: 

Получим общий ответ рассмотренной задачи, объединив решения 1 и 3 случаев:

Замечание. Аналогичную задачу с радиусом, зависимым от параметра a, также можно решить рассмотренным нами наглядным методом. Стоит отметить, что при данных условиях необходимо учитывать случай, когда окружность будет вырождаться в точку, т.е. радиус будет равняться нулю, а следовательно этот случай даст не более одного решения [3].

Для многих современных детей труднодоступным является решение задач аналитическим методом, у таких учеников развито наглядное представление решения задач. Наша работа направлена в большей степени на школьников, предпочитающих такой «визуальный» способ. Статья рекомендована для изучения всем, интересующимся задачами с параметром.

Список литературы

  1. Задача № 520807 по математике (профильный уровень) [Электронный ресурс] // Решу ЕГЭ: Образовательный портал для подготовки к экзаменам. – URL: https://ege.sdamgia.ru/problem?id=520807
  2. Алгебра и начала математического анализ: учеб. для 11 кл. общеобразоват. учреждений: базовый и профил. уровни / [С. М. Никольский, М. К. Потапов, Н. Н. Решетников, А. В. Шевкин]. – 7-е изд., доп. – М.: Просвещение, 2008, – 464 с.
  3. ЕГЭ. Математика. Профильный уровень: типовые экзаменационные варианты: 36 вариантов / под ред. И. В. Ященко. – Москва: Издательство «Национальное образование», 2026. – 224 с.: ил. – (ЕГЭ. ФИПИ – школе)
Справка о публикации и препринт статьи
предоставляется сразу после оплаты
Прием материалов
c по
Осталось 5 дней до окончания
Размещение электронной версии
Загрузка материалов в elibrary
Публикация за 24 часа
Узнать подробнее
Акция
Cкидка 20% на размещение статьи, начиная со второй
Бонусная программа
Узнать подробнее